Random coprime numbers
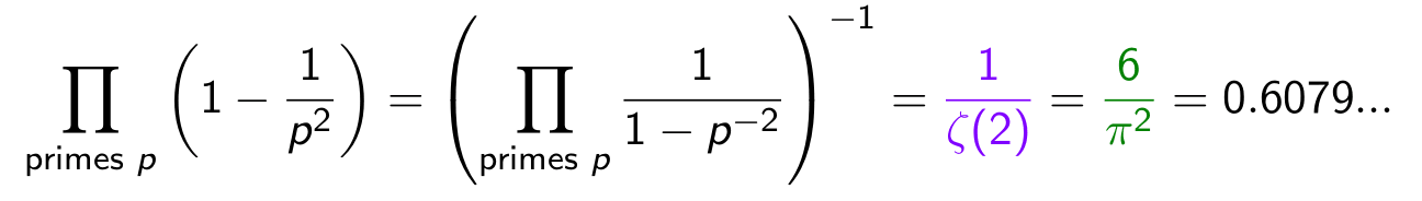
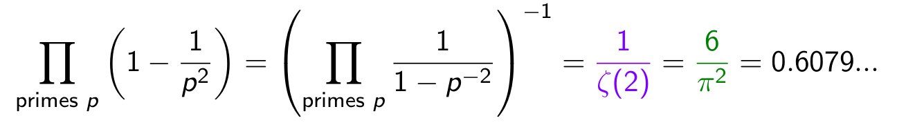
Two integers are called coprime, or relatively prime, if they have no factors in common other than 1. For example, 10 and 21 are coprime, despite neither of them being a prime number, but 10 and 22 are not coprime because they share a common factor of 2. It is a remarkable fact that the probability that two randomly chosen large integers will be coprime is 6/π2, which works out as about 60.8%.
A famous property of the number π is that it is irrational, which means that it cannot be expressed precisely as the ratio of two integers. The square root of 2 is also irrational, but it is an example of an algebraic number, meaning that √2 is a root of a polynomial with integer coefficients: x2–2 in this case.
Another example of an irrational algebraic number is the golden ratio, φ=(1+√5)/2, which is a root of the polynomial x2–x–1. It is a nontrivial theorem that the number π is transcendental, which means that it is not a root of any polynomial with integer coefficients. Intuitively, this means that π is not just irrational, but “very irrational”.
Even though π is irrational, it is still possible to approximate it by rational numbers. Perhaps the best known such approximation is 22/7, which is accurate to 2 decimal places. More impressively, the rational number 355/113 agrees with π to 6 decimal places.
The precise statement of the result about random coprime integers is that if we are given a very large integer N, the probability that two random numbers in the range 1 up to N will be relatively prime tends to 6/π2 as N tends to infinity. However the fact that π is transcendental implies that π2/6, and thus 6/π2, are irrational numbers, so the figure of 6/π2 is only an approximation for any given N.
To understand where the number 6/π2 comes from, it is helpful to recall that π2/6 is the infinite sum of the reciprocals of the square numbers: 1 + 1/4 + 1/9 + 1/16 + … This was first proved by Leonhard Euler in 1734. This result can be generalized: if k is an even integer, then the sum of the reciprocals of the k-th powers of n is a rational multiple of πk. For example, if k=4, then the infinite sum 1 + 1/16 + 1/81 + 1/256 + … turns out to be the transcendental number π4/90.
Much less is known about what happens if k is odd. Roger Apéry proved in 1979 that ζ(3) is irrational, but it is still not known whether or not Apéry’s constant is transcendental.
The strategy to calculate the probability of large random numbers being coprime is as follows. Suppose that p is a prime number and that c and d are two random numbers in the range 1 up to N. If N is large enough, then the probability that c and d are not both multiples of p is (1–p-2), which expands to 1/(1+1/p2+1/p4+1/p6+…). Taking the product over all primes p implies the probability that a and b have no prime factors in common is 1/(π2/6).
Picture credits and relevant links
The Riemann zeta function ζ(s) can be regarded as a function of a complex variable. The Riemann hypothesis, which is one of the million dollar Millennium Prize Problems, is a conjecture about the nontrivial zeros of the Riemann zeta function. A proof of the Riemann hypothesis would have far-reaching consequences in various areas of mathematics.
The problem of finding the sum of the reciprocals of the square numbers was known as the Basel problem. It was an open problem from 1650 until Euler solved it in 1734.
Wikipedia has pages about coprime integers and Apéry’s constant.
The graphics are my own work.
Substack management by Buzz & Hum.








I am untrained as a mathematician. I am curious to know if what l have worked out is a known proof or not.
I have developed a procedure that will produce two or more prime numbers for every new one entered into the calculation. It uses numbers that are incalculably large so any use is purely theoretical.
Multiply all known primes together, starting with 2. Inspect the result.which I call a node. The first factor of 2 is two units away. The first factor of 3 is three units away and so on for all known primes. The numbers +1 and -1 from the node are either primes or numbers that are some combination of power and multiples of primes not already included in the list of known primes. The density of primes , also incalculable, can be approximated in a given range. Half of all numbers are not prime above 2 squared. An additional 1/2x1/3 of all numbers above 3 squared are not prime. 3 removes 1/3, but half of those were already removed by 2. The combinations of already removed numbers increase faster than the size of the nodes, but the series is interesting. It can be represented by a sine function where the nodes are zero and all non primes very low value and the probability of finding a prime is a spike, approaching a delta function for the nodes +1 and -1.